·中央政府门户网 ·湖南省政府门户网 ·衡阳市政府门户网 ·耒阳市政府门户网

当前页面: 首页  > 耒阳市教育局 > 信息公开 > 工作进展

2018年高考各科考试大纲出炉!

2018年高考各科考试大纲出炉!

2017-12-17 耒阳教育在线

导读

 近日,教育部考试中心正式公布了《2018年普通高等学校招生全国统一考试大纲》(以下简称《考试大纲》,点击下方“”阅读原文查看官网信息),涉及的科目有语文、数学、英语、历史、地理、思想政治、物理、化学、生物等。《考试大纲》明确了高考的性质和功能,规定了考试内容与形式,是高考命题的规范性文件和标准,对指导高考内容改革、规范高考命题都有重要意义,对中学教学、高三复习备考影响重大。

普通高等学校招生全国统一考试(以下简称高考)是合格的高中毕业生和具有同等学力的考生参加的选拔性考试。高等学校根据考生成绩,按已确定的招生计划,德、智、体全面衡量,择优录取。因此,高考应具有较高的信度、效度,必要的区分度和适当的难度。

  

普通高等学校招生全国统一考试大纲(以下简称《考试大纲》)是高考命题的规范性文件和标准,是考试评价、复习备考的依据。《考试大纲》明确了高考的性质和功能,规定了考试内容与形式,对指导高考内容改革、规范高考命题都有重要意义。《考试大纲》根据普通高等学校对新生文化素质和能力的要求,参照《普通高中课程标准》,并考虑中学教学实际而制定。

  

《国务院关于深化考试招生制度改革的实施意见》明确提出深化高考考试内容改革,依据高校人才选拔要求和国家课程标准,科学设计命题内容,增强基础性、综合性,着重考查学生独立思考和运用所学知识分析问题、解决问题的能力。高考考试内容改革注重顶层设计、统筹谋划,突出考试内容的整体设计,科学构建了高考评价体系。高考评价体系通过确立立德树人、服务选才、引导教学这一高考核心功能,回答了为什么考的问题;通过明确必备知识、关键能力、学科素养、核心价值四层考查内容以及基础性、综合性、应用性、创新性四个方面的考查要求,回答了高考考什么怎么考的问题。《考试大纲》是高考评价体系的具体实现,也体现了高考考试内容改革的成果和方向。

  

《考试大纲》是教育部考试中心和各分省命题省市在命题中都应当严格遵循的,是制定《考试说明》的原则依据。各分省命题省市在《考试大纲》的基础上,可以结合本省市高考方案和教学实际制订《考试说明》。

  

本《考试大纲》的解释权归教育部考试中心。



 

 

语文

 

. 考核目标与要求

 

根据普通高等学校对新生文化素质的要求,依据中华人民共和国教育部2003年颁布的《普通高中课程方案(实验)》和《普通高中语文课程标准(实验)》,确定高考语文科考核目标与要求。

高考语文科要求考查考生识记、理解、分析综合、鉴赏评价、表达应用和探究六种能力,表现为六个层级,具体要求如下。

 

A. 识记:指识别和记忆,是最基本的能力层级。要求能识别和记忆语文基础知识、文化常识和名句名篇等。

 

B. 理解:指领会并能作简单的解释,是在识记基础上高一级的能力层级。要求能够领会并解释词语、句子、段落等的意思。

C. 分析综合:指分解剖析和归纳整合,是在识记和理解的基础上进一步提高了的能力层级。要求能够筛选材料中的信息,分解剖析相关现象和问题,并予以归纳整合。

D. 鉴赏评价:指对阅读材料的鉴别、赏析和评说,是以识记、理解和分析综合为基础,在阅读方面发展了的能力层级。

E. 表达应用:指对语文知识和能力的运用,是以识记、理解和分析综合为基础,在表达方面发展了的能力层级。

F. 探究:指对某些问题进行探讨,有发现、有创见,是以识记、理解和分析综合为基础,在创新性思维方面发展了的能力层级。

 

ABCDEF六个能力层级均可有不同难易程度的考查。

 

. 考试范围与要求

 

根据普通高等学校对新生文化素质的要求,依据中华人民共和国教育部2003年颁布的《普通高中课程方案(实验)》和《普通高中语文课程标准(实验)》,确定高考语文科考试范围与要求。根据高中语文课程标准规定的必修课程中阅读与鉴赏、表达与交流两个目标的语文1”语文5”五个模块,选修课程中诗歌与散文、小说与戏剧、新闻与传记、语言文字应用、文化论著研读五个系列,组成考试内容。考试内容分为阅读和表达两个部分。阅读部分包括现代文阅读和古诗文阅读,表达部分包括语言文字应用和写作。考试的各部分内容均可有难易不同的考查。

一、现代文阅读

现代文阅读内容及相应的能力层级如下:

(一)论述类文本阅读

阅读中外论述类文本。了解政论文、学术论文、时评、书评等论述类文体的基本特征和主要表达方式。阅读论述类文本,应注重文本的说理性和逻辑性,分析文本的论点、论据和论证方法。

 

1.理解 B

理解文中重要概念的含义

理解文中重要句子的含意

2.分析综合 C

筛选并整合文中的信息

分析文章结构,归纳内容要点,概括中心意思

分析论点、论据和论证方法

分析概括作者在文中的观点态度

(二)文学类文本阅读

阅读和鉴赏中外文学作品。了解小说、散文、诗歌、戏剧等文学体裁的基本特征和主要表现手法。阅读鉴赏文学作品,应注重价值判断和审美体验,感受形象,品味语言,领悟内涵,分析艺术表现力,理解作品反映的社会生活和情感世界,探索作品蕴涵的民族心理和人文精神。

1.理解 B

理解文中重要词语的含义

理解文中重要句子的含意

2.分析综合 C

分析作品结构,概括作品主题

分析作品的体裁特征和表现手法

3.鉴赏评价 D

体会重要语句的丰富含意,品味精彩的语言表达艺术

鉴赏作品的文学形象,领悟作品的艺术魅力

评价作品表现出的价值判断和审美取向

4.探究 F

从不同角度和层面发掘作品的意蕴、民族心理和人文精神

探讨作者的创作背景和创作意图

对作品进行个性化阅读和有创意的解读

(三)实用类文本阅读

阅读和评价中外实用类文本。了解新闻、传记、报告、科普文章的文体基本特征和主要表现手法。阅读实用类文本,应注重真实性和实用性,准确解读文本,筛选整合信息,分析思想内容、构成要素和语言特色,评价文本的社会功用,探讨文本反映的人生价值和时代精神。

1.理解 B

理解文中重要概念的含义

理解文中重要句子的含意

2.分析综合 C

筛选并整合文中信息

分析语言特色,把握文章结构,概括中心意思

分析文本的文体特征和主要表现手法

3.鉴赏评价 D

评价文本的主要观点和基本倾向

评价文本产生的社会价值和影响

对文本的某种特色作深度的思考和判断

4.探究 F

从不同角度和层面发掘文本反映的人生价值和时代精神

探讨作者的写作背景和写作意图

探究文本中的某些问题,提出自己的见解

二、古诗文阅读

阅读浅易的古代诗文。

 

1.识记 A

默写常见的名句名篇

2.理解 B

理解常见文言实词在文中的含义

理解常见文言虚词在文中的意义和用法

常见文言虚词:而、何、乎、乃、其、且、若、所、为、焉、也、以、因、于、与、则、者、之。

理解与现代汉语不同的句式和用法

不同的句式和用法:判断句、被动句、宾语前置、成分省略和词类活用。

了解并掌握常见的古代文化知识

理解并翻译文中的句子

3.分析综合 C

筛选并整合文中信息

归纳内容要点,概括中心意思

分析概括作者在文中的观点态度

4.鉴赏评价 D

鉴赏文学作品的形象、语言和表达技巧

评价文章的思想内容和作者的观点态度

三、语言文字应用

正确、熟练、有效地使用语言文字。

1.识记 A

识记现代汉语普通话常用字的字音

识记并正确书写现代常用规范汉字

2.表达应用 E

正确使用词语(包括熟语)

辨析并修改病句

病句类型:语序不当、搭配不当、成分残缺或赘余、结构混乱、表意不明、不合逻辑。

选用、仿用、变换句式,扩展语句,压缩语段

正确使用常见的修辞手法

常见修辞手法:比喻、比拟、借代、夸张、对偶、排比、反复、设问、反问。

语言表达简明、连贯、得体,准确、鲜明、生动

正确使用标点符号

四、写作

能写论述类、实用类和文学类文章。

表达应用 E

作文考试的评价要求分为基础等级和发展等级。

1.基础等级

符合题意

符合文体要求

感情真挚,思想健康

内容充实,中心明确

语言通顺,结构完整

标点正确,不写错别字

2.发展等级

深刻

透过现象深入本质,揭示事物的内在关系,观点具有启发作用。

丰富

材料丰富,论据充实,形象丰满,意境深远。

有文采

用语贴切,句式灵活,善于运用修辞手法,文句有表现力。

有创新

见解新颖,材料新鲜,构思新巧,推理想象有独到之处,有个性色彩。

 

 

 考核目标与要求

 

一、语言知识

要求考生掌握并能运用英语语音、词汇、语法基础知识以及所学功能意念和话题(见附录1至附录5),要求词汇量为3500左右。

 

二、语言运用

1.听力

要求考生能听懂所熟悉话题的简短独白和对话。考生应能:

1)理解主旨要义;

2)获取具体的、事实性信息;

3)对所听内容做出推断;

4)理解说话者的意图、观点和态度。

 

2.阅读

要求考生能读懂书、报、杂志中关于一般性话题的简短文段以及公告、说明、广告等,并能从中获取相关信息。考生应能:

1)理解主旨要义;

2)理解文中具体信息;

3)根据上下文推断单词和短语的含义;

4)做出判断和推理;

5)理解文章的基本结构;

6)理解作者的意图、观点和态度。

 

3.写作

要求考生根据提示进行书面表达。考生应能:

1)清楚、连贯地传递信息,表达意思;

2)有效运用所学语言知识。

 

4.口语

要求考生根据提示进行口头表达。考生应能:

1)询问或传递事实性信息,表达意思和想法;

2)做到语音、语调自然;

3)做到语言运用得体;

4)使用有效的交际策略。

 

附录1 语音项目表

 

1. 基本读音

(1) 26个字母的读音

(2) 元音字母在重读音节中的读音

(3) 元音字母在轻读音节中的读音

(4) 元音字母组合在重读音节中的读音

(5) 常见的元音字母组合在轻读音节中的读音

(6) 辅音字母组合的读音

(7) 辅音连缀的读音

(8) 成节音的读音

      

2. 重音

(1) 单词重音

(2) 句子重音

 

3. 读音的变化

(1) 连读

(2) 失去爆破

(3) 弱读

(4) 同化

 

4. 语调与节奏

(1) 意群与停顿

(2) 语调

(3) 节奏

 

5. 语音、语调、重音、节奏等在口语交流中的运用

 

6. 朗诵和演讲中的语音技巧

 

7. 主要英语国家的英语语音差异

 

附录2 语法项目表

 

1. 名词

(1) 可数名词及其单复数

(2) 不可数名词

(3) 专有名词

(4) 名词所有格

 

2. 代词

(1) 人称代词

(2) 物主代词

(3) 反身代词

(4) 指示代词

(5) 不定代词

(6) 疑问代词

 

3. 数词

(1) 基数词

(2) 序数词

 

4. 介词和介词短语

5. 连词

6. 形容词(比较级和最高级)

7. 副词(比较级和最高级)

8. 冠词

 

9. 动词

(1) 动词的基本形式

(2) 系动词

(3) 及物动词和不及物动词

(4) 助动词

(5) 情态动词

 

10. 时态

(1) 一般现在时

(2) 一般过去时

(3) 一般将来时

(4) 现在进行时

(5) 过去进行时

(6) 过去将来时

(7) 将来进行时

(8) 现在完成时

(9) 过去完成时

(10) 现在完成进行时

 

11. 被动语态

 

12. 非谓语动词

(1) 动词不定式

(2) 动词的-ing形式

(3) 动词的-ed形式

 

13. 构词法

(1) 合成法

(2) 派生法

(3) 转化法

(4) 缩写和简写

 

14. 句子种类

(1) 陈述句

(2) 疑问句

(3) 祈使句

(4) 感叹句

 

15. 句子成分

(1) 主语

(2) 谓语

(3) 表语

(4) 宾语

(5) 定语

(6) 状语

(7) 补语

 

16. 简单句的基本句型

17. 主谓一致

18. 并列复合句

 

19. 主从复合句

(1) 宾语从句

(2) 状语从句

(3) 定语从句

(4) 主语从句

(5) 表语从句

 

20. 间接引语

21. 省略

22. 倒装

23. 强调

24. 虚拟语气

 

附录3 功能意念项目表

 

1. 社会交往 (Social Communications)

(1) 问候 (Greetings)

(2) 介绍 (Introduction)

(3) 告别 (Farewells )

(4) 感谢 (Thanks )

(5) 道歉 (Apologies)

(6) 邀请 (Invitation)

(7) 请求允许 (Asking for permission)

(8) 祝愿和祝贺 (Expressing wishes and congratulations)

(9) 提供帮助 (Offering help)

(10) 接受和拒绝 (Acceptance and refusal)

(11) 约会 (Making appointments)

(12) 打电话 (Making telephone calls)

(13) 就餐 (Having meals)

(14) 就医 (Seeing the doctor)

(15) 购物 (Shopping)

(16) 问路 (Asking the way)

(17) 谈论天气 (Talking about weather)

(18) 语言交际困难 (Language difficulties in communication)

(19) 提醒注意 (Reminding)

(20) 警告和禁止 (Warning and prohibition)

(21) 劝告 (Advice)

(22) 建议 (Suggestions)

 

2. 态度 (Attitudes)

(23) 同意和不同意 (Agreement and disagreement)

(24) 喜欢和不喜欢 (Likes and dislikes)

(25) 肯定和不肯定 (Certainty and uncertainty)

(26) 可能和不可能 (Possibility and impossibility)

(27) 能够和不能够 (Ability and inability)

(28) 偏爱和优先选择 (Preference)

(29) 意愿和打算 (Intentions and plans)

(30) 希望和愿望 (Hopes and wishes)

(31) 表扬和鼓励 (Praise and encouragement)

(32) 责备和抱怨 (Blame and complaint)

(33) 冷淡 (Indifference)

(34) 判断与评价 (Judgement and evaluation)

 

3. 情感 (Emotions)

(35) 高兴 (Happiness)

(36) 惊奇 (Surprise)

(37) 忧虑 (Worries)

(38) 安慰 (Reassurance)

(39) 满意 (Satisfaction)

(40) 遗憾 (Regret)

(41) 同情 (Sympathy)

(42) 恐惧 (Fear)

(43) 愤怒 (Anger)

 

4. 时间 (Time)

(44) 时刻 (Point of time)

(45) 时段 (Duration)

(46) 频度 (Frequency)

(47) 时序 (Sequence)

 

5. 空间 (Space)

(48) 位置 (Position)

(49) 方向 (Direction)

(50) 距离 (Distance)

 

6. 存在 (Existence)

(51) 存在与不存在 (Existence and Non-existence)

 

7. 特征 (Features)

(52) 形状 (Shape)

(53) 颜色 (Colour)

(54) 材料 (Material)

(55) 价格 (Price)

(56) 规格 (Size)

(57) 年龄 (Age)

 

8. 计量 (Measurement)

(58) 长度 (Length)

(59) 宽度 (Width)

(60) 高度 (Height)

(61) 数量 (Number)

 

9. 比较 (Comparison)

(62) 同级比较 (Equal comparison)

(63) 差别比较 (Comparative and superlative)

(64) 相似和差别 (Similarity and difference)

 

10. 逻辑关系 (Logical relations)

(65) 原因和结果 (Cause and effect)

(66) 目的 (Purpose)

 

11. 职业 (Occupations)

(67) 工作 (Jobs)

(68) 单位 (Employer)

 

附录4 话题项目表

 

1. 个人情况 (Personal information)

2. 家庭、朋友与周围的人 (Family, friends and people around)

3. 周围的环境 (Personal environments)

4. 日常活动 (Daily routines)

5. 学校生活 (School life)

6. 兴趣与爱好 (Interests and hobbies)

7. 个人感情 (Emotions)

8. 人际关系 (Interpersonal relationships)

9. 计划与愿望 (Plans and intentions)

10. 节假日活动 (Festivals, holidays and celebrations)

11. 购物 (Shopping)

12. 饮食 (Food and drink)

13. 健康 (Health)

14. 天气 (Weather)

15. 文娱与体育 (Entertainment and sports)

16. 旅游和交通 (Travel and transport)

17. 语言学习 (Language learning)

18. 自然 (Nature)

19. 世界与环境 (The world and the environment)

20. 科普知识与现代技术 (Popular science and modern technology)

21. 热点话题 (Topical issues)

22. 历史与地理 (History and geography)

23. 社会 (Society)

24. 文学与艺术 (Literature and art)

 

附录5 词汇表(略)

 

 

 

理科数学

 

. 考核目标与要求

 

根据普通高等学校对新生文化素质的要求,依据中华人民共和国教育部2003年颁布的《普通高中课程方案(实验)》和《普通高中数学课程标准(实验)》的必修课程、选修课程系列2和系列4的内容,确定理工类高考数学科考试内容.

 

一、知识要求

 

知识是指《普通高中数学课程标准(实验)(以下简称《课程标准》)中所规定的必修课程、选修课程系列2和系列4中的数学概念、性质、法则、公式、公理、定理以及由其内容反映的数学思想方法,还包括按照一定程序与步骤进行运算、处理数据、绘制图表等基本技能.

 

各部分知识的整体要求及其定位参照《课程标准》相应模块的有关说明.

 

对知识的要求依次是了解、理解、掌握三个层次.

 

1. 了解:要求对所列知识的含义有初步的、感性的认识,知道这一知识内容是什么,按照一定的程序和步骤照样模仿,并能(或会)在有关的问题中识别和认识它.

 

这一层次所涉及的主要行为动词有:了解,知道、识别,模仿,会求、会解等.

 

2. 理解:要求对所列知识内容有较深刻的理性认识,知道知识间的逻辑关系,能够对所列知识做正确的描述说明并用数学语言表达,能够利用所学的知识内容对有关问题进行比较、判别、讨论,具备利用所学知识解决简单问题的能力.

 

这一层次所涉及的主要行为动词有:描述,说明,表达,推测、想象,比较、判别,初步应用等.

 

3. 掌握:要求能够对所列的知识内容进行推导证明,能够利用所学知识对问题进行分析、研究、讨论,并且加以解决.

 

这一层次所涉及的主要行为动词有:掌握、导出、分析,推导、证明,研究、讨论、运用、解决问题等.

 

二、能力要求

 

能力是指空间想象能力、抽象概括能力、推理论证能力、运算求解能力、数据处理能力以及应用意识和创新意识.

 

1. 空间想象能力:能根据条件做出正确的图形,根据图形想象出直观形象;能正确地分析出图形中的基本元素及其相互关系;能对图形进行分解、组合;会运用图形与图表等手段形象地揭示问题的本质.

 

空间想象能力是对空间形式的观察、分析、抽象的能力,主要表现为识图、画图和对图形的想象能力.识图是指观察研究所给图形中几何元素之间的相互关系;画图是指将文字语言和符号语言转化为图形语言以及对图形添加辅助图形或对图形进行各种变换;对图形的想象主要包括有图想图和无图想图两种,是空间想象能力高层次的标志.

 

2. 抽象概括能力:抽象是指舍弃事物非本质的属性,揭示其本质的属性;概括是指把仅仅属于某一类对象的共同属性区分出来的思维过程.抽象和概括是相互联系的,没有抽象就不可能有概括,而概括必须在抽象的基础上得出某种观点或某个结论.

 

抽象概括能力是对具体的、生动的实例,经过分析提炼,发现研究对象的本质;从给定的大量信息材料中概括出一些结论,并能将其应用于解决问题或做出新的判断.

 

3. 推理论证能力:推理是思维的基本形式之一,它由前提和结论两部分组成;论证是由已有的正确的前提到被论证的结论的一连串的推理过程.推理既包括演绎推理,也包括合情推理;论证方法既包括按形式划分的演绎法和归纳法,也包括按思考方法划分的直接证法和间接证法.一般运用合情推理进行猜想,再运用演绎推理进行证明.

 

中学数学的推理论证能力是根据已知的事实和已获得的正确数学命题,论证某一数学命题真实性的初步的推理能力.

 

4. 运算求解能力:会根据法则、公式进行正确运算、变形和数据处理,能根据问题的条件寻找与设计合理、简捷的运算途径,能根据要求对数据进行估计和近似计算.

 

运算求解能力是思维能力和运算技能的结合.运算包括对数字的计算、估值和近似计算,对式子的组合变形与分解变形,对几何图形各几何量的计算求解等.运算能力包括分析运算条件、探究运算方向、选择运算公式、确定运算程序等一系列过程中的思维能力,也包括在实施运算过程中遇到障碍而调整运算的能力.

 

5. 数据处理能力:会收集、整理、分析数据,能从大量数据中抽取对研究问题有用的信息,并做出判断.

 

数据处理能力主要是指针对研究对象的特殊性,选择合理的收集数据的方法,根据问题的具体情况,选择合适的统计方法整理数据,并构建模型对数据进行分析、推断,获得结论.

 

6. 应用意识:能综合应用所学数学知识、思想和方法解决问题,包括解决相关学科、生产、生活中简单的数学问题;能理解对问题陈述的材料,并对所提供的信息资料进行归纳、整理和分类,将实际问题抽象为数学问题;能应用相关的数学方法解决问题进而加以验证,并能用数学语言正确地表达和说明.应用的主要过程是依据现实的生活背景,提炼相关的数量关系,将现实问题转化为数学问题,构造数学模型,并加以解决.

 

7. 创新意识:能发现问题、提出问题,综合与灵活地应用所学的数学知识、思想方法,选择有效的方法和手段分析信息,进行独立的思考、探索和研究,提出解决问题的思路,创造性地解决问题.

 

创新意识是理性思维的高层次表现.对数学问题的观察、猜测、抽象、概括、证明,是发现问题和解决问题的重要途径,对数学知识的迁移、组合、融会的程度越高,显示出的创新意识也就越强.

 

三、个性品质要求

 

个性品质是指考生个体的情感、态度和价值观.要求考生具有一定的数学视野,认识数学的科学价值和人文价值,崇尚数学的理性精神,形成审慎的思维习惯,体会数学的美学意义.

 

要求考生克服紧张情绪,以平和的心态参加考试,合理支配考试时间,以实事求是的科学态度解答试题,树立战胜困难的信心,体现锲而不舍的精神.

 

四、考查要求

 

数学学科的系统性和严密性决定了数学知识之间深刻的内在联系,包括各部分知识的纵向联系和横向联系,要善于从本质上抓住这些联系,进而通过分类、梳理、综合,构建数学试卷的框架结构.

 

1. 对数学基础知识的考查,既要全面又要突出重点.对于支撑学科知识体系的重点内容,要占有较大的比例,构成数学试卷的主体.注重学科的内在联系和知识的综合性,不刻意追求知识的覆盖面.从学科的整体高度和思维价值的高度考虑问题,在知识网络的交汇点处设计试题,使对数学基础知识的考查达到必要的深度.

 

2. 对数学思想方法的考查是对数学知识在更高层次上的抽象和概括的考查,考查时必须要与数学知识相结合,通过对数学知识的考查,反映考生对数学思想方法的掌握程度.

 

3. 对数学能力的考查,强调以能力立意,就是以数学知识为载体,从问题入手,把握学科的整体意义,用统一的数学观点组织材料,侧重体现对知识的理解和应用,尤其是综合和灵活的应用,以此来检测考生将知识迁移到不同情境中去的能力,从而检测出考生个体理性思维的广度和深度以及进一步学习的潜能.

 

对能力的考查要全面,强调综合性、应用性,并要切合考生实际.对推理论证能力和抽象概括能力的考查贯穿于全卷,是考查的重点,强调其科学性、严谨性、抽象性;对空间想象能力的考查主要体现在对文字语言、符号语言及图形语言的互相转化上;对运算求解能力的考查主要是对算法和推理的考查,考查以代数运算为主;对数据处理能力的考查主要是考查运用概率统计的基本方法和思想解决实际问题的能力.

 

4. 对应用意识的考查主要采用解决应用问题的形式.命题时要坚持贴近生活,背景公平,控制难度的原则,试题设计要切合中学数学教学的实际和考生的年龄特点,并结合实践经验,使数学应用问题的难度符合考生的水平.

 

5. 对创新意识的考查是对高层次理性思维的考查.在考试中创设新颖的问题情境,构造有一定深度和广度的数学问题时,要注重问题的多样化,体现思维的发散性;精心设计考查数学主体内容、体现数学素质的试题;也要有反映数、形运动变化的试题以及研究型、探索型、开放型等类型的试题.

 

数学科的命题,在考查基础知识的基础上,注重对数学思想方法的考查,注重对数学能力的考查,展现数学的科学价值和人文价值,同时兼顾试题的基础性、综合性和应用性,重视试题间的层次性,合理调控综合程度,坚持多角度、多层次的考查,努力实现全面考查综合数学素养的要求.

 

.考试范围与要求

 

本部分包括必考内容和选考内容两部分.必考内容为《课程标准》的必修内容和选修系列2的内容;选考内容为《课程标准》的选修系列4坐标系与参数方程”“不等式选讲”2个专题.

 

必考内容

 

(一)集合

1. 集合的含义与表示

(1)了解集合的含义、元素与集合的属于关系.

(2)能用自然语言、图形语言、集合语言(列举法或描述法)描述不同的具体问题.

 

2. 集合间的基本关系

(1)理解集合之间包含与相等的含义,能识别给定集合的子集.

(2)在具体情境中,了解全集与空集的含义.

 

3. 集合的基本运算

(1)理解两个集合的并集与交集的含义,会求两个简单集合的并集与交集.

(2)理解在给定集合中一个子集的补集的含义,会求给定子集的补集.

(3)能使用韦恩(Venn)图表达集合的关系及运算.

 

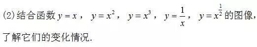
(二)函数概念与基本初等函数(指数函数、对数函数、幂函数)

1. 函数

(1)了解构成函数的要素,会求一些简单函数的定义域和值域;了解映射的概念.

(2)在实际情境中,会根据不同的需要选择恰当的方法(如图像法、列表法、解析法)表示函数.

(3)了解简单的分段函数,并能简单应用.

(4)理解函数的单调性、最大值、最小值及其几何意义;结合具体函数,了解函数奇偶性的含义.

(5)会运用函数图像理解和研究函数的性质.

 

2. 指数函数

(1)了解指数函数模型的实际背景.

(2)理解有理指数幂的含义,了解实数指数幂的意义,掌握幂的运算.

(3)理解指数函数的概念,理解指数函数的单调性,掌握指数函数图像通过的特殊点.

(4)知道指数函数是一类重要的函数模型.

 

3. 对数函数

(1)理解对数的概念及其运算性质,知道用换底公式能将一般对数转化成自然对数或常用对数;了解对数在简化运算中的作用.

(2)理解对数函数的概念,理解对数函数的单调性,掌握对数函数图像通过的特殊点.

(3)知道对数函数是一类重要的函数模型.

4. 幂函数

(1)了解幂函数的概念.

 

5. 函数与方程

(1)结合二次函数的图像,了解函数的零点与方程根的联系,判断一元二次方程根的存在性及根的个数.

(2)根据具体函数的图像,能够用二分法求相应方程的近似解.

 

6. 函数模型及其应用

(1)了解指数函数、对数函数以及幂函数的增长特征,知道直线上升、指数增长、对数增长等不同函数类型增长的含义.

(2)了解函数模型(如指数函数、对数函数、幂函数、分段函数等在社会生活中普遍使用的函数模型)的广泛应用.

 

(三) 立体几何初步

1. 空间几何体

(1)认识柱、锥、台、球及其简单组合体的结构特征,并能运用这些特征描述现实生活中简单物体的结构.

(2)能画出简单空间图形(长方体、球、圆柱、圆锥、棱柱等的简易组合)的三视图,能识别上述三视图所表示的立体模型,会用斜二侧法画出它们的直观图.

(3)会用平行投影与中心投影两种方法画出简单空间图形的三视图与直观图,了解空间图形的不同表示形式.

(4)会画某些建筑物的视图与直观图(在不影响图形特征的基础上,尺寸、线条等不作严格要求).

(5)了解球、棱柱、棱锥、台的表面积和体积的计算公式.

 

2. 点、直线、平面之间的位置关系

(1)理解空间直线、平面位置关系的定义,并了解如下可以作为推理依据的公理和定理.

 

? 公理1:如果一条直线上的两点在一个平面内,那么这条直线上所有的点都在此平面内.

? 公理2:过不在同一条直线上的三点,有且只有一个平面.

? 公理3:如果两个不重合的平面有一个公共点,那么它们有且只有一条过该点的公共直线.

? 公理4:平行于同一条直线的两条直线互相平行.

? 定理:空间中如果一个角的两边与另一个角的两边分别平行,那么这两个角相等或互补.

 

(2)以立体几何的上述定义、公理和定理为出发点,认识和理解空间中线面平行、垂直的有关性质与判定定理.

 

理解以下判定定理.

? 如果平面外一条直线与此平面内的一条直线平行,那么该直线与此平面平行.

? 如果一个平面内的两条相交直线与另一个平面都平行,那么这两个平面平行.

? 如果一条直线与一个平面内的两条相交直线都垂直,那么该直线与此平面垂直.

? 如果一个平面经过另一个平面的垂线,那么这两个平面互相垂直.

 

理解以下性质定理,并能够证明.

? 如果一条直线与一个平面平行,那么经过该直线的任一个平面与此平面的交线和该直线平行.

? 如果两个平行平面同时和第三个平面相交,那么它们的交线相互平行.

? 垂直于同一个平面的两条直线平行.

? 如果两个平面垂直,那么一个平面内垂直于它们交线的直线与另一个平面垂直.

 

3. 能运用公理、定理和已获得的结论证明一些空间图形的位置关系的简单命题.

 

(四)平面解析几何初步

1. 直线与方程

(1)在平面直角坐标系中,结合具体图形,确定直线位置的几何要素.

(2)理解直线的倾斜角和斜率的概念,掌握过两点的直线斜率的计算公式.

(3)能根据两条直线的斜率判定这两条直线平行或垂直.

(4)掌握确定直线位置的几何要素,掌握直线方程的几种形式(点斜式、两点式及一般式),了解斜截式与一次函数的关系.

(5)能用解方程组的方法求两条相交直线的交点坐标.

(6)掌握两点间的距离公式、点到直线的距离公式,会求两条平行直线间的距离.

 

2. 圆与方程

(1)掌握确定圆的几何要素,掌握圆的标准方程与一般方程.

(2)能根据给定直线、圆的方程判断直线与圆的位置关系;能根据给定两个圆的方程判断两圆的位置关系.

(3)能用直线和圆的方程解决一些简单的问题.

(4)初步了解用代数方法处理几何问题的思想.

 

3. 空间直角坐标系

(1)了解空间直角坐标系,会用空间直角坐标表示点的位置.

(2)会推导空间两点间的距离公式.

 

(五) 算法初步

1. 算法的含义、程序框图

(1)了解算法的含义,了解算法的思想.

(2)理解程序框图的三种基本逻辑结构:顺序、条件分支、循环.

 

2. 基本算法语句

理解几种基本算法语句——输入语句、输出语句、赋值语句、条件语句、循环语句的含义.

 

 (六) 统计

1. 随机抽样

(1)理解随机抽样的必要性和重要性.

(2)会用简单随机抽样方法从总体中抽取样本;了解分层抽样和系统抽样方法.

 

2. 用样本估计总体

(1)了解分布的意义和作用,会列频率分布表,会画频率分布直方图、频率折线图、茎叶图,理解它们各自的特点.

(2)理解样本数据标准差的意义和作用,会计算数据标准差.

(3)能从样本数据中提取基本的数字特征(如平均数、标准差),并给出合理的解释.

(4)会用样本的频率分布估计总体分布,会用样本的基本数字特征估计总体的基本数字特征,理解用样本估计总体的思想.

(5)会用随机抽样的基本方法和样本估计总体的思想解决一些简单的实际问题.

 

3. 变量的相关性

(1)会作两个有关联变量的数据的散点图,会利用散点图认识变量间的相关关系.

(2)了解最小二乘法的思想,能根据给出的线性回归方程系数公式建立线性回归方程.

 

(七) 概率

1. 事件与概率

(1)了解随机事件发生的不确定性和频率的稳定性,了解概率的意义,了解频率与概率的区别.

(2)了解两个互斥事件的概率加法公式.

 

2. 古典概型

(1)理解古典概型及其概率计算公式.

(2)会计算一些随机事件所含的基本事件数及事件发生的概率.

 

3. 随机数与几何概型

(1)了解随机数的意义,能运用模拟方法估计概率.

(2)了解几何概型的意义.

 

(八) 基本初等函数(三角函数)

1. 任意角的概念、弧度制

(1)了解任意角的概念.

(2)了解弧度制的概念,能进行弧度与角度的互化.

 

2.  三角函数

(1)理解任意角三角函数(正弦、余弦、正切)的定义.

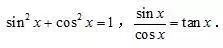
(4)理解同角三角函数的基本关系式:

(6)了解三角函数是描述周期变化现象的重要函数模型,会用三角函数解决一些简单实际问题.

 

(九) 平面向量

1. 平面向量的实际背景及基本概念

(1)了解向量的实际背景.

(2)理解平面向量的概念,理解两个向量相等的含义.

(3)理解向量的几何表示.

 

2. 向量的线性运算

(1)掌握向量加法、减法的运算,并理解其几何意义.

(2)掌握向量数乘的运算及其几何意义,理解两个向量共线的含义.

(3)了解向量线性运算的性质及其几何意义.

 

3. 平面向量的基本定理及坐标表示

(1)了解平面向量的基本定理及其意义.

(2)掌握平面向量的正交分解及其坐标表示.

(3)会用坐标表示平面向量的加法、减法与数乘运算.

(4)理解用坐标表示的平面向量共线的条件.

 

4. 平面向量的数量积

(1)理解平面向量数量积的含义及其物理意义.

(2)了解平面向量的数量积与向量投影的关系.

(3)掌握数量积的坐标表达式,会进行平面向量数量积的运算.

(4)能运用数量积表示两个向量的夹角,会用数量积判断两个平面向量的垂直关系.

 

5. 向量的应用

(1)会用向量方法解决某些简单的平面几何问题.

(2)会用向量方法解决简单的力学问题与其他一些实际问题.

 

(十) 三角恒等变换

1. 和与差的三角函数公式

(1)会用向量的数量积推导出两角差的余弦公式.

(2)能利用两角差的余弦公式导出两角差的正弦、正切公式.

(3)能利用两角差的余弦公式导出两角和的正弦、余弦、正切公式,导出二倍角的正弦、余弦、正切公式,了解它们的内在联系.

 

2. 简单的三角恒等变换

能运用上述公式进行简单的恒等变换(包括导出积化和差、和差化积、半角公式,但对这三组公式不要求记忆).

 

(十一) 解三角形

1. 正弦定理和余弦定理

掌握正弦定理、余弦定理,并能解决一些简单的三角形度量问题.

 

2. 应用

能够运用正弦定理、余弦定理等知识和方法解决一些与测量和几何计算有关的实际问题.

 

(十二) 数列

1. 数列的概念和简单表示法

(1)了解数列的概念和几种简单的表示方法(列表、图像、通项公式).

(2)了解数列是自变量为正整数的一类函数.

 

2. 等差数列、等比数列

(1)理解等差数列、等比数列的概念.

(2)掌握等差数列、等比数列的通项公式与前项和公式.

(3)能在具体的问题情境中识别数列的等差关系或等比关系,并能用有关知识解决相应的问题.

(4)了解等差数列与一次函数、等比数列与指数函数的关系.

 

(十三) 不等式

1. 不等关系

了解现实世界和日常生活中的不等关系,了解不等式()的实际背景.

 

2. 一元二次不等式

(1)会从实际情境中抽象出一元二次不等式模型.

(2)通过函数图像了解一元二次不等式与相应的二次函数、一元二次方程的联系.

(3)会解一元二次不等式,对给定的一元二次不等式,会设计求解的程序框图.

 

3. 二元一次不等式组与简单线性规划问题

(1)会从实际情境中抽象出二元一次不等式组.

(2)了解二元一次不等式的几何意义,能用平面区域表示二元一次不等式组.

(3)会从实际情境中抽象出一些简单的二元线性规划问题,并能加以解决.

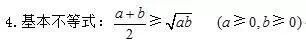
(1)了解基本不等式的证明过程.

(2)会用基本不等式解决简单的最大()值问题.

 

(十四) 常用逻辑用语

1. 命题及其关系

(1)理解命题的概念.

(2)了解p,则q形式的命题及其逆命题、否命题与逆否命题,会分析四种命题的相互关系.

(3)理解必要条件、充分条件与充要条件的意义.

 

2. 简单的逻辑联结词

了解逻辑联结词”“”“的含义.

 

3. 全称量词与存在量词

(1)理解全称量词与存在量词的意义.

(2)能正确地对含有一个量词的命题进行否定.

 

(十五) 圆锥曲线与方程

1. 圆锥曲线

(1)了解圆锥曲线的实际背景,了解圆锥曲线在刻画现实世界和解决实际问题中的作用.

(2)掌握椭圆、抛物线的定义、几何图形、标准方程及简单性质.

(3)了解双曲线的定义、几何图形和标准方程,知道它的简单几何性质.

(4)了解圆锥曲线的简单应用.

(5)理解数形结合的思想.

 

2. 曲线与方程

了解方程的曲线与曲线的方程的对应关系.

 

(十六) 空间向量与立体几何

1. 空间向量及其运算

(1)了解空间向量的概念,了解空间向量的基本定理及其意义,掌握空间向量的正交分解及其坐标表示.

(2)掌握空间向量的线性运算及其坐标表示.

(3)掌握空间向量的数量积及其坐标表示,能运用向量的数量积判断向量的共线与垂直.

 

2. 空间向量的应用

(1)理解直线的方向向量与平面的法向量.

(2)能用向量语言表述直线与直线、直线与平面、平面与平面的垂直、平行关系.

(3)能用向量方法证明有关直线和平面位置关系的一些定理(包括三垂线定理).

(4)能用向量方法解决直线与直线、直线与平面、平面与平面的夹角的计算问题,了解向量方法在研究立体几何问题中的应用.

 

(十七) 导数及其应用

1. 导数概念及其几何意义

(1)了解导数概念的实际背景.

(2)理解导数的几何意义.

 

2. 导数的运算

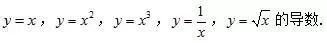
(1)能根据导数定义求函数 y=(C为常数)

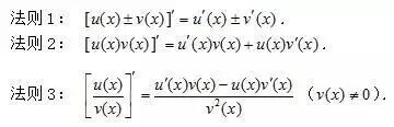
(2)能利用下面给出的基本初等函数的导数公式和导数的四则运算法则求简单函数的导数,能求简单的复合函数(仅限于形如f(ax+b)的复合函数)的导数.

 

? 常见基本初等函数的导数公式:

? 常用的导数运算法则:

3. 导数在研究函数中的应用

(1)了解函数单调性和导数的关系;能利用导数研究函数的单调性,会求函数的单调区间(其中多项式函数一般不超过三次).

(2)了解函数在某点取得极值的必要条件和充分条件;会用导数求函数的极大值、极小值(其中多项式函数一般不超过三次);会求闭区间上函数的最大值、最小值(其中多项式函数一般不超过三次).

 

4. 生活中的优化问题

会利用导数解决某些实际问题.

 

5. 定积分与微积分基本定理

(1)了解定积分的实际背景,了解定积分的基本思想,了解定积分的概念.

(2)了解微积分基本定理的含义.

 

(十八) 推理与证明

1. 合情推理与演绎推理

(1)了解合情推理的含义,能利用归纳和类比等进行简单的推理,了解合情推理在数学发现中的作用.

(2)了解演绎推理的重要性,掌握演绎推理的基本模式,并能运用它们进行一些简单推理.

(3)了解合情推理和演绎推理之间的联系和差异.

 

2. 直接证明与间接证明

(1)了解直接证明的两种基本方法——分析法和综合法;了解分析法和综合法的思考过程、特点.

(2)了解间接证明的一种基本方法——反证法;了解反证法的思考过程、特点.

 

3. 数学归纳法

了解数学归纳法的原理,能用数学归纳法证明一些简单的数学命题.

 

(十九) 数系的扩充与复数的引入

1. 复数的概念

(1)理解复数的基本概念.

(2)理解复数相等的充要条件.

(3)了解复数的代数表示法及其几何意义.

 

2. 复数的四则运算

(1)会进行复数代数形式的四则运算.

(2)了解复数代数形式的加、减运算的几何意义.

 

(二十) 计数原理

1. 分类加法计数原理、分步乘法计数原理

(1)理解分类加法计数原理和分步乘法计数原理.

(2)会用分类加法计数原理或分步乘法计数原理分析和解决一些简单的实际问题.

 

2. 排列与组合

(1)理解排列、组合的概念.

(2)能利用计数原理推导排列数公式、组合数公式.

(3)能解决简单的实际问题.

 

3. 二项式定理

(1)能用计数原理证明二项式定理.

(2)会用二项式定理解决与二项展开式有关的简单问题.

 

(二十一) 概率与统计

1. 概率

1)理解取有限个值的离散型随机变量及其分布列的概念,了解分布列对于刻画随机现象的重要性.

(2)理解超几何分布及其导出过程,并能进行简单的应用.

(3)了解条件概率和两个事件相互独立的概念,理解次独立重复试验的模型及二项分布,并能解决一些简单的实际问题.

(4)理解取有限个值的离散型随机变量均值、方差的概念,能计算简单离散型随机变量的均值、方差,并能解决一些实际问题.

(5)利用实际问题的直方图,了解正态分布曲线的特点及曲线所表示的意义.

 

2. 统计案例

了解下列一些常见的统计方法,并能应用这些方法解决一些实际问题.

(1)独立性检验

了解独立性检验(只要求2×2列联表)的基本思想、方法及其简单应用.

(2)回归分析

了解回归分析的基本思想、方法及其简单应用.

 

选考内容

 

(一) 坐标系与参数方程

1. 坐标系

(1)理解坐标系的作用.

(2)了解在平面直角坐标系伸缩变换作用下平面图形的变化情况.

(3)能在极坐标系中用极坐标表示点的位置,理解在极坐标系和平面直角坐标系中表示点的位置的区别,能进行极坐标和直角坐标的互化.

(4)能在极坐标系中给出简单图形的方程.通过比较这些图形在极坐标系和平面直角坐标系中的方程,理解用方程表示平面图形时选择适当坐标系的意义.

(5)了解柱坐标系、球坐标系中表示空间中点的位置的方法,并与空间直角坐标系中表示点的位置的方法相比较,了解它们的区别.

 

2. 参数方程

(1)了解参数方程,了解参数的意义.

(2)能选择适当的参数写出直线、圆和圆锥曲线的参数方程.

(3)了解平摆线、渐开线的生成过程,并能推导出它们的参数方程.

(4)了解其他摆线的生成过程,了解摆线在实际中的应用,了解摆线在表示行星运动轨道中的作用.

 

(二) 不等式选讲

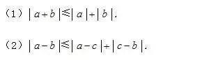
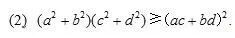
1. 理解绝对值的几何意义,并能利用含绝对值不等式的几何意义证明以下不等式:

(3) 会利用绝对值的几何意义求解以下类型的不等式:                                           

2. 了解下列柯西不等式的几种不同形式,理解它们的几何意义,并会证明.

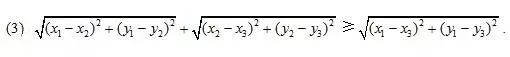
(1) 柯西不等式的向量形式:

(此不等式通常称为平面三角不等式.)

 

3. 会用参数配方法讨论柯西不等式的一般情形:

 

4. 会用向量递归方法讨论排序不等式.

 

5. 了解数学归纳法的原理及其使用范围,会用数学归纳法证明一些简单问题.

 

6. 会用数学归纳法证明伯努利不等式:

了解当n为大于1的实数时伯努利不等式也成立.

 

7. 会用上述不等式证明一些简单问题.能够利用平均值不等式、柯西不等式求一些特定函数的极值.

 

8. 了解证明不等式的基本方法:比较法、综合法、分析法、反证法、放缩法.

 

 

声明:本文素材来源教育部考试中心